Přihlásit se
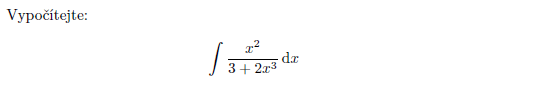
PŘÍKLAD 1
Zobrazit celý příklad
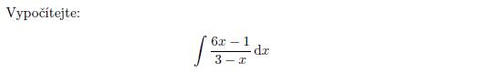
PŘÍKLAD 2
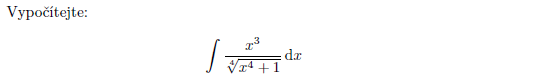
PŘÍKLAD 3
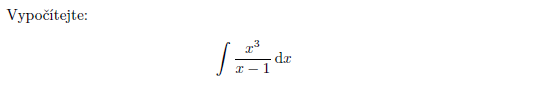
PŘÍKLAD 4
PŘÍKLAD 6
PŘÍKLAD 9
PŘÍKLAD 12
PŘÍKLAD 14
PŘÍKLAD 15