Login
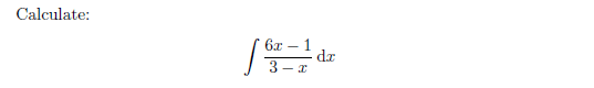
EXAMPLE 1
Show complete example
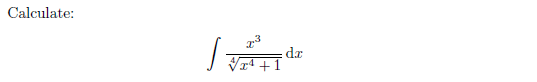
EXAMPLE 2
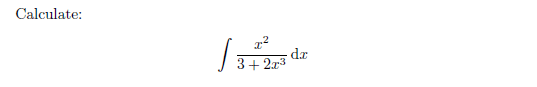
EXAMPLE 3
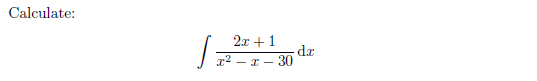
EXAMPLE 4
EXAMPLE 6
EXAMPLE 9
EXAMPLE 12
EXAMPLE 14
EXAMPLE 15