Přihlásit se
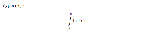
PŘÍKLAD 1
Zobrazit celý příklad
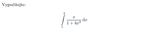
PŘÍKLAD 3
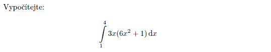
PŘÍKLAD 6
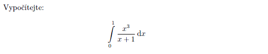
PŘÍKLAD 8
PŘÍKLAD 10
PŘÍKLAD 12
PŘÍKLAD 13
PŘÍKLAD 14
PŘÍKLAD 15