Přihlásit se
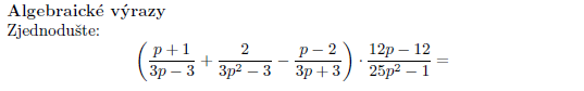
PŘÍKLAD 1
Zobrazit celý příklad
PŘÍKLAD 6
PŘÍKLAD 11
PŘÍKLAD 13
PŘÍKLAD 14
PŘÍKLAD 15
PŘÍKLAD 16
PŘÍKLAD 17
PŘÍKLAD 18
PŘÍKLAD 19
PŘÍKLAD 20
PŘÍKLAD 21
PŘÍKLAD 24
PŘÍKLAD 25
PŘÍKLAD 27
PŘÍKLAD 28
PŘÍKLAD 29
PŘÍKLAD 32
PŘÍKLAD 33
PŘÍKLAD 34
PŘÍKLAD 36
PŘÍKLAD 37
PŘÍKLAD 40
PŘÍKLAD 41
PŘÍKLAD 42
PŘÍKLAD 43